_____________ in cell membranes provide structural support, form channels for passage of materials, act as receptor sites and a carrier molecule. कोशिका झिल्लियों में उपस्थित ________ संरचनात्मक सहायता प्रदान करते हैं, पारगम्यता प्रदान करते हैं, ग्राही स्थल और वाहक अणु के रूप में कार्य करते हैं।
अंपायरों के आईसीसी एलीट पैनल में शामिल होने वाले बांग्लादेश के पहले अंपायर कौन है?
उस विकल्प का चयन करें, जिसका पांचवें अक्षर-समूह से वही संबंध है, जो दूसरे अक्षर-समूह का पहले अक्षर-समूह से है, और चौथे अक्षर-समूह का तीसरे अक्षर-समूह से है। ADJUST : BEKWUV :: BACKED : CBDMGF :: PACKUP : ?
.
उस विकल्प का चयन करें जो तीसरे शब्द से वही सम्बन्ध रखता हो, जो पहला शब्द दूसरे शब्द से रखता है। गुरुत्वाकर्षण : खोज : टेलीफोन :?
Basel Protocol is related to which of the following?/बेसल प्रोटोकॉल निम्नलिखित में से किससे संबंधित है?
In India, all the bills introduced and passed by both the houses (Lok Sabha and Rajya Sabha) can come into force only after they receive the assent of:
‘‘श्रुतोऽयं धीवरालाप:’’ इत्यस्य निष्पत्तिरस्ति
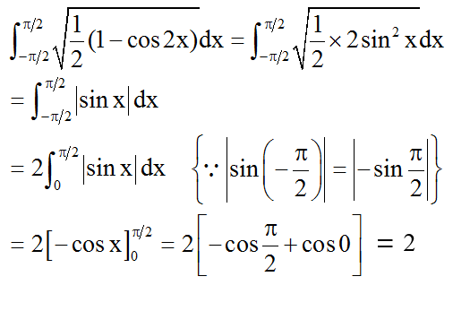
Explanations:
Download our app to know more Lorem ipsum dolor sit amet consectetur adipisicing elit. Excepturi, esse.
Unlocking possibilities: Login required for a world of personalized experiences.