In which medium does sound travel at maximum speed?
Who was the first Chairman of Rajya Sabha?
Refer to the following number and symbol series and answer the question that follows. (Counting to be done from left to right only.) (Left) 2 @ 4 + = 3 1 # 3 @ $ 9 8 * 9 4 2 8 7 6 5 (Right) How many such symbols are there, each of which is immediately preceded by and also immediately followed by a number?/निम्नलिखित संख्या और प्रतीक शृंखला का संदर्भ लीजिए और उसके बाद दिए गए प्रश्न का उत्तर दीजिए। (गिनती बाएँ से दाएँ की ओर ही की जानी है।) (बाएँ) 2 @ 4 + = 3 1 # 3 @ $ 9 8 * 9 4 2 8 7 6 5 (दाएँ) ऐसे कितने प्रतीक हैं, जिनके ठीक पहले और ठीक बाद एक संख्या है?
डॉ. सोनाली घोष ने हाल ही में किस प्रतिष्ठित अंतरराष्ट्रीय पुरस्कार को जीतकर इतिहास रचा है?
क्रिया के मूल रूप को क्या कहते हैं?
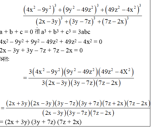
.
MS-Word 2010 supports the font size range that lies between _____and_____. एमएस-वर्ड 2010 फॉन्ट साइज रेंज का समर्थन करता है जो ______ और ______ के बीच होती है।
उत्तर प्रदेश में मुख्य प्रकार की फसलें हैं:
A किसी कार्य को 12 दिन में कर सकता है, और B उसी कार्य को 15 दिन में कर सकता है। C उसी कार्य को 9 दिन में कर सकता है। यदि वे एक साथ मिलकर कार्य करते हैं, तो उन्हें उसी कार्य को समाप्त करने में कितना समय लगेगा?
The number of spheres that can be made to pass through the three given points (1, 0, 0), (0, 1, 0) and (0, 0, 1) is तीन दिए गए बिन्दुओं (1, 0, 0), (0, 1, 0)तथा (0, 0, 1) से जाते हुए, गोलों की संख्या है
Explanations:
Download our app to know more Lorem ipsum dolor sit amet consectetur adipisicing elit. Excepturi, esse.
Unlocking possibilities: Login required for a world of personalized experiences.