At the base of a mountain, a mercury barometer reads 700 mm whereas at the top it reads 500 mm of Mercury. The density of air is 1.23 kg/m3, is assumed constant. Determine the height of the mountain. (Take specific gravity of mercury as 13.6, and the density of water as 1000 kg/m³)
Learning covers all areas of human behaviour - Cognitive affective and psychomotor. Which feature of learning is highlighted in the above statement?/अधिगम मानव व्यवहार के सभी क्षेत्रों - संज्ञानात्मक, प्रभावशाली और साइकोमीटर की आवृत्त करता है। उपरोक्त कथन में अधिगत की कौन सी विशेषता पर प्रकाश डाला गया है?
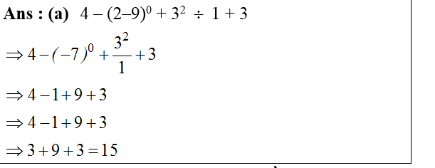
.
Directions (Q. Nos. 71 to 95) : Read the passage given below and answer the questions that follow. A strict vegetarian is a person who never in his life eats anything derived from animals. The main objection to vegetarianism on a long-term basis is the difficulty of getting enough protein—the body-building element in food. If you have ever been without meat or other animal foods for some days or weeks (say, for religious reasons), you will have noticed that you tend to get physically rather weak. You are glad when the fast is over and you get your reward of a succulent meat meal. Proteins are built up from approximately twenty food elements called ‘amino acids’, which are found more abundantly in animal protein than in vegetable protein. This means you have to eat a great deal of vegetable than animal food in order to get enough of these amino acids. A great deal of the vegetable food goes to waste in this process and from the physiological point of view there is not much to be said in favour of life-long vegetarianism. According to the author of the passage, physiologically life-long vegetarianism may not be desirable because
जिमी कार्टर किस देश के पूर्व राष्ट्रपति थे जिनका हाल ही में निधन हो गया है?
_______ was the first commercially successful word processing software.
निर्देश : निम्नलखि प्रश्नों में क्रमश: दो/एक कथनों के आगे चार/दो निष्कर्ष/ पूर्वानुमान दिए गए हैं। आप सामान्य ज्ञात तथ्यों में अन्तर होने पर भी दोनोें वाक्यों की पड़ताल सत्य समझ कर करें। आप तय करें कि दिए गए निष्कर्षों/पूर्वानुमानों में से कौन-सा, यदि कोई हो, दिए गए कथनों से निकलता है। कथन : 1. कुछ शिक्षक विद्यार्थी हैं। 2. सभी विद्यार्थी लड़कियाँ हैं। निष्कर्ष : I. सभी शिक्षक लड़कियाँ हैं। II. कुछ लड़कियाँ शिक्षक हैं। III. कुछ लड़कियाँ विद्यार्थी हैं। IV. सभी विद्यार्थी शिक्षक हैं।
They shunned him because he was a lecherous man who always looked for an opportunity to cheat others.
एक भारतीय प्रबंधन संस्थान यू.पी. में है? यह ______ में स्थित है।
अंतर्राष्ट्रीय शतरंज महासंघ ने हाल ही में किसे ग्रैंडमास्टर की उपाधि से सम्मानित किया?
Explanations:
Download our app to know more Lorem ipsum dolor sit amet consectetur adipisicing elit. Excepturi, esse.
Unlocking possibilities: Login required for a world of personalized experiences.