Find the percentage of discount availed by the customer when he opts for the instalment plan.
गलत विलोमार्थक युग्म चुनिए।
If A : B = 764 : 598 and B : C = 102 : 764, find A : C. यदि A : B = 764 : 598 और B : C = 102 : 764, तो A : C = ?
Bernoulli's theorem deals with the principle of conservation of- बरनौली का प्रमेय, .................. के संरक्षण के सिद्धांत पर आधारित है।
निम्नलिखित में से कौन-सा उन चार पायलटों में से नहीं है जिन्हें 2024 - 25 के लिए योजनाबद्ध अंतरिक्ष में इसरो के गगनयान मिशन के लिए अंतरिक्ष यात्री बनने के लिए प्रशिक्षित किया गया है ?
.
What is the first era of Prehistoric period called? प्रागैतिहासिक काल के पहले युग को क्या कहा जाता है?
भारत किस देश के साथ मिलकर एक्सरसाइज ‘टाइगर ट्रायम्फ’ का आयोजन कर रहा है?
भारतीय नौसेना की पूर्वी नौसेना कमान 'पूर्वी लहर अभ्यास' का संचालन किया, पूर्वी कमान का मुख्यालय कहां है?
What should be the marked price of a radio with a purchase price of `1200 so that the shopkeeper gets a profit of 25% on it even after selling it at a discount of 20% on the marked price.
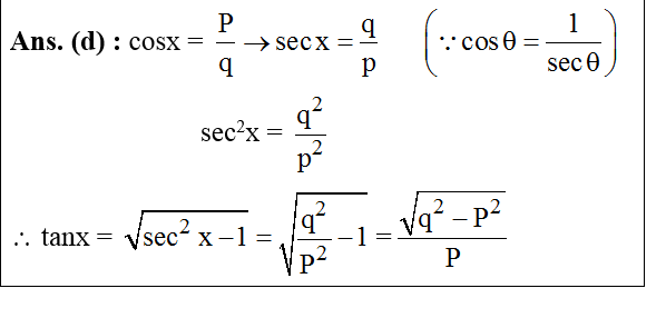
Explanations:
Download our app to know more Lorem ipsum dolor sit amet consectetur adipisicing elit. Excepturi, esse.
Unlocking possibilities: Login required for a world of personalized experiences.