Select the option in which the words share the same relationship as that shared by the given pair of words. Sympathy : Affinity
.
A year is called leap year if it has
In which district of Uttarakhand the famous ‘Neelkanth-Mahadev’ Temple is situated ? नीलकण्ठ महादेव का प्रसिद्ध मन्दिर उत्तराखण्ड के किस जिले में स्थित है?
Radius of Gyration is given by the command परिभ्रमण त्रिज्या को कमांड दिया जाता है।
मानव शरीर में सबसे प्रचुर मात्रा में मौजूद तत्व कौन-सा है?
Pipes A and B can fill a tank in 16 hours and 24 hours, respectively, whereas pipe C can empty the full tank in 40 hours. All three pipes are opened together, but pipe A is closed after 10 hours. After how many hours will the remaining part of the tank be filled?
On 19 February, 2024, The foundation stone of Shree Kalhi Dham was laid- consider the related statement- 1. Its foundation stone was laid by Uttar Pradesh Chief Minister Yogi Adityanath. 2. This temple is located in Varanasi district of Uttar Pradesh. Select the correct answer- 19 फरवरी, 2024 को श्री कल्कि धाम मन्दिर का शिलान्यास किया गया। संबंधित कथनों पर विचार करें– 1. इसका शिलान्यास उत्तर प्रदेश के मुख्यमंत्री योगी आदित्यनाथ ने किया। 2. यह मन्दिर उत्तर प्रदेश के वाराणसी जिले में स्थित है। सही उत्तर का चयन करें–
गौरैया : दाना : : रेशम का कीड़ा : ? RRB NTPC 17.01.2017 Shift-III
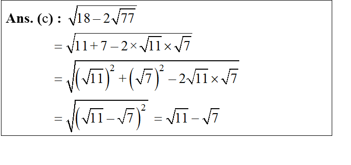
Explanations:
Download our app to know more Lorem ipsum dolor sit amet consectetur adipisicing elit. Excepturi, esse.
Unlocking possibilities: Login required for a world of personalized experiences.