Select the alternative that will improve the underlined part of the sentence in case there is no improvement select “No improvement”. If I had been there I would surely solve the problem for you.
.
Which among the following is equivalent to 1 Pascal?
Which of the following facts are mentioned in the decision of the Supreme Court regarding Bilkis Bano? बिलकिस बानो के संबंध में सर्वोच्च न्यायालय के पैâसले में निम्नलिखित में से कौन-सा तथ्य वर्णित है? A. Bilkis Bano challenges premature release of convicts in Supreme Court on 30 November 2022./बिलकिस बानो ने 30 नवंबर, 2022 को सर्वोच्च न्यायालय में समयपूर्व दोषियों के रिहाई को चुनौती दी। B. On 23 April 2019, the Supreme Court granted compensation of Rs. 50 lakh to Bilkis Bano from the Gujarat Government. 23 अप्रैल 2019 को सर्वोच्च न्यायालय ने बिलकिस बानो को गुजरात सरकार से 50 लाख रुपये का मुआवजा दिलाया था। C. On 8 January 2024, the Supreme Court canceled the order regarding premature release of 11 convicts./8 जनवरी 2024 को सर्वोच्च न्यायालय ने 11दोषियों को समयपूर्व रिहाई करने संबंधी आदेश को रद्द कर दिया। D. Justice B.V. Nagarathna and Justice Ujjal Bhuiyan gave the decision./न्यायमूर्ति बी.वी. नागरत्ना और न्यायमूर्ति उज्जवल भुइयाँ ने निर्णय दिया।
निम्नलिखित में कौन-सा शब्द तद्भव है?
Ram takes 2 hours more than Ravi to walk 20 km. If Ram doubles his speed, then he is ahead of Ravi by one hour 20 minutes. Find the speed of Ravi (in km/hr). राम को 20 km चलने में रवि से 2 घंटे अधिक लगते हैं। यदि राम अपनी चाल दोगुनी कर देता है, तो वह रवि से 1 घंटा 20 मिनट आगे हो जाता है। रवि की चाल (km/hr में) ज्ञात कीजिए।
Ozone at the higher level of the atmosphere is a product of –––– acting on oxygen molecules
A rapid and rough survey to ascertain the best suitable site of the work is?
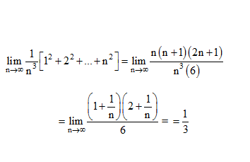
Explanations:
Download our app to know more Lorem ipsum dolor sit amet consectetur adipisicing elit. Excepturi, esse.
Unlocking possibilities: Login required for a world of personalized experiences.