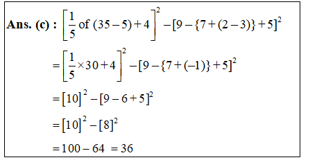
10
निर्देश:-(प्र. सं. 15 से 117 तक) : दिए गए कथनों और निष्कर्षों को ध्यानपूर्वक पढ़ें। यह मानते हुए कि कथनों में दी गइ जानकारी सत्य है, भले ही यह सामान्य रूप से ज्ञात तथ्यों से भिन्न प्रतीत होती हो, तय करें कि दिए गए निष्कर्षों में से कौन से निष्कर्ष कथनों का तार्किक रूप से अनुसरण/पालन करते हैं।कथन: सभी सिर, पूंछ है। सभी पूंछ, हड्डियां हैं। निष्कर्ष: I. सभी हड्डियां, सिर है। II. सभी सिर, हड्डियां है।