The river that separates the western and eastern part of the Gandhisagar sancturary is _____. गांधीसागर अभ्यारण्य के पश्चिमी और पूर्वी भाग को अलग करने वाली नदी ______ है
इनमें से एक वाक्य अशुद्ध है, वह है :
.
अफगानिस्तान के साथ भारतीय सीमा की लंबाई कितनी है?
खालसा सेना के सैन्य कमांडर बंदा बहादुर_____ में शहीद हुए थे।
On which of the following, the Postal stamp is not Issued on?/निम्न में से किस पर डाक टिकट जारी नहीं किया गया है?
In a certain code language, if NEAT is coded as 3409 then LEARN will be coded as ?
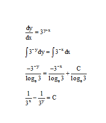
Explanations:
Download our app to know more Lorem ipsum dolor sit amet consectetur adipisicing elit. Excepturi, esse.
Unlocking possibilities: Login required for a world of personalized experiences.