How many terabytes make one petabyte?
Which of the following statements is INCORRECT? निम्नलिखित में से कौन-सा कथन गलत है?
‘चरक संहिता’, चिकित्सा की किस शाखा से संबंधित है?
If the first term of a geometric progression is 2 and the common ratio is 3, then what will be the fifth term of the geometric progression?
In computer science data hazard occurs when कम्प्यूटर विज्ञान में डाटा पर खतरा उत्पन्न होता है जब
हाल ही में अन्न चक्र और स्कैन पोर्टल का अनावरण किसने किया?
अधोलिखितान् पद्यान् पठित्वा प्रश्नानां (25-30) विकल्पात्मकोत्तरेभ्य: उचिततमं उत्तरं चिनुत । जाड्यं धियो हरति सिञचति वाचि सत्यम्, मानोन्नतिं दिशति पापमपाकरोति। चेत: पसादयति दिक्षु तनोति कीर्तिम्, सत्सङ्गति: कथय किं न करोति पुंसाम् ।।1।। सर्पा: पिबन्ति पवनं न च दुर्बलास्ते, शुष्के : तृणै: वनगजा: बलिन: भवन्ति। सन्तोष एव पुरुषस्य परं निधानम् ।।2।। परिवर्तिनि संसारे मृत: को वा न जायते। स जातो येन जातेन याति वंश: समुन्नतिम्। मृग-मीन-सज्जनानां तृण-जल-सन्तोष विहत वृत्तीनाम्। लुब्धक-धीवर-पिशुना निष्कारणवैरिणो जगति।।4।। वैरणा नहि संदध्यात् सुश्लिष्टनापि सन्धिना। सुतप्तमपि पानीयं शमयत्येव पावकम् ।।5।। शीतलम्-इत्यस्य पदस्य विपरीतार्थकं पदं पद्येषु किम्?
हाल ही में किस मंत्रालय ने डिजिटल फसल सर्वेक्षण (DCS) प्रणाली शुरू की है?
‘मद्रास महाजन सभा’ की स्थापना किस वर्ष हुई थी?
The Salt Satyagraha/नमक सत्याग्रह
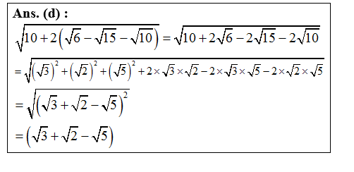
Explanations:
Download our app to know more Lorem ipsum dolor sit amet consectetur adipisicing elit. Excepturi, esse.
Unlocking possibilities: Login required for a world of personalized experiences.