Arjun walks 22 metres southward. Then turning to his right, and walks 22 metres to reach an ATM. Then turning to his left, and walks 20 metres to reach a bookstall. Again, he turns to his left and walks 22 metres to reach his office. How far is he from his starting point?
महाराष्ट्र के नए मुख्य निर्वाचन अधिकारी के रूप में किसे नियुक्त किया गया है?
She _______ when I entered the hall.
UNICEF was established in the year यूनिसेफ की स्थापना कब हुई?
.
ब्रहयोनि हिल बिहार के किस जिले में स्थित है?
निम्नलिखित में से किसका प्रयोग आब्जेक्टिव आंसर-सीट को सुधारने के लिए किया जाता है–
एक विशिष्ट कूट भाषा में, यदि COPPER को C15P16E18 लिखा जाता है और SULFUR को S21L6U18 लिखा जाता है, तो शब्द SODIUM को कैसे लिखा जाएगा?
Which of the following Sultans of Tughluq issued copper coins instead of silver ones?
Which of the following alternatives is an extension of Microsoft word file? निम्नलिखित विकल्पों में से कौन माइक्रोसॉफ्ट वर्ड फाइल का एक्सटेंशन है?
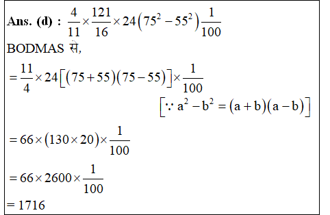
Explanations:
Download our app to know more Lorem ipsum dolor sit amet consectetur adipisicing elit. Excepturi, esse.
Unlocking possibilities: Login required for a world of personalized experiences.