________is the device which acts like an N-P-N and a P-N-P transistor connected base-to-base and emitter-to-collector. ..............एक डिवाइस होती है जो बेस-टू-बेस और एमिटर-टू-कलेक्टर के रूप में जूड़े N-P-N P-N-P ट्रांजिस्टर की तरह कार्य करती है।
Which of the following instruments is used for recording the magnitude and intensity of earthquakes ? भूकंपों की तीव्रता और उसके परिमाण को रिकॉर्ड करने के लिए निम्नलिखित में से किस उपकरण का उपयोग किया जाता है ?
आईसीसी पुरुष U19 क्रिकेट विश्व कप 2024 का आयोजन किस देश में किया जायेगा?
What should come in place of the question mark (?) in the given series? दी गई शृंखला में प्रश्न चिन्ह (?) के स्थान पर क्या आना चाहिए? 58, 73, 90, 109, ?
श्रीनिजा अपने घर से 9 km पश्चिम की ओर चली, फिर दक्षिण की ओर मुड़ी और 11 km चली। फिर वह पूर्व की ओर 13 km चली और अंत में पश्चिम की ओर 4 kmचली। अब श्रीनिजा अपने प्रारंभिक स्थान से कितनी दूरी पर है?
A sonometer wire vibrates with a frequency n. It is replaced by another wire of three times the diameter. If tension and other parameters remain the same, the frequency of vibration of the wire will be
दो रेलगाडि़यां एक साथ पहली स्टेशन P से Q तक, और दूसरी स्टेशन Q से P तक जाने के लिए क्रमश: 80 किमी/घंटा और 95 किमी/घंटा की चाल से चलना शुरु करती है। यदि वे 12 घंटे के बाद मिलती है, तो उनके द्वारा तय की गई दूरियों का अंतर ज्ञात कीजिए।
Which article of the Constitution of India provides for reservation of seats for the schedule castes and schedule tribes in the Lok Sabha?
1931 में पहली भारतीय बोलती फिल्म रिलीज हुई थी। इस फिल्म का नाम बताइए।
Which Article of the Indian Constitution states that The Council of Ministers shall be collectively responsible to the House of the People ?
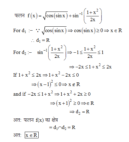
Explanations:
Download our app to know more Lorem ipsum dolor sit amet consectetur adipisicing elit. Excepturi, esse.
Unlocking possibilities: Login required for a world of personalized experiences.