किसी वस्तु को इसके अंकित मूल्य पर 15% की छूट देकर बेचने पर एक दुकानदार को फिर भी 19% का लाभ प्राप्त होता है। वस्तु का अंकित मूल्य इसके क्रय मूल्य से कितने प्रतिशत अधिक है?
In 'The Mayor of Casterbridge' where does the fashionable young woman meet Elizabeth-Jane?
The ancient most evidence of the practice of iron metal is found from the excavation of which site of India? भारत के किस स्थल की खुदाई से लौह धातु के प्रचलन के प्राचीनतम प्रमाण मिले हैं?
Which of the following parts of a DC machine is a stationary part? डी.सी. मशीन का निम्नलिखित में से कौन-सा भाग, एक स्थैतिक भाग होता है?
दो पाइप A और B एक टैंक को क्रमश: X मिनट और 6 मिनट में भर सकते हैं। यदि दोनों पाइप एकसाथ काम कर रहे हैं, तो टैंक को भरने में 1.5 मिनट का समय लगता है। X का मान ज्ञात कीजिए?
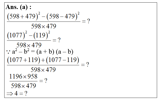
.
The concept of Triratna is related to ____.
अंतर्राष्ट्रीय खगोलीय संघ ने मंगल ग्रह पर स्थित एक क्रेटर का नाम किसके नाम पर रखा है?
निम्न में से कौन–सी बाद की बाल्यावस्था के बौद्धिक विकास की विशेषता नहीं है?
‘‘करोति कस्य नाह्लादं कथा कान्तेव भारती’’ यह उक्ति किस कवि की है?
Explanations:
Download our app to know more Lorem ipsum dolor sit amet consectetur adipisicing elit. Excepturi, esse.
Unlocking possibilities: Login required for a world of personalized experiences.