Who was the Chief Guest on the Republic Day, 26th January, 2023? गणतंत्र दिवस, 26 जनवरी, 2023 को मुख्य अतिथि कौन थे?
The outer signal is provided at minimum distance of /बाहरी सिगनल ......... की न्यूनतम दूरी पर प्रदान किए जाते हैं।
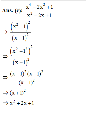
.
A sum automatically triples itself in 9 years at simple interest. Find the annual rate of interest.
संयुक्त राष्ट्र सुरक्षा परिषद द्वारा अफगानिस्तान में शांति के लिए किसे विशेष दूत बनाया गया है?
What does the ratio of Nominal GDP and Real GDP represent? सांकेतिक जीडीपी और वास्तविक जीडीपी का अनुपात क्या प्रस्तुत करता है?
राष्ट्रीय युवा संसद महोत्सव, 2024 में प्रथम पुरस्कार किसने जीता?
पाठ्यचर्या का सिद्धांत आधारित है-
निर्देश (81-83) : दिये गए निम्नलिखित गद्यांश के आधार पर प्रश्नों के उत्तर दीजिए। उपर्युक्त गद्यांश को ध्यान से पढ़िए और उपयुक्त उत्तर का चयन कीजिए? प्रश्न: अन्तर्मन से आत्मिक आनंद कैसे मिलता है? आनंद और खुशी की खोज में हम सारा जीवन लगे रहते हैं। बाह्य शिष्टाचारों से खुशी तो प्राप्त होती है किन्तु वह क्षणिक होती है। आत्मिक खुशी तो हमें अपने अन्दर ही तलाशनी होती है। हमारे अंत:करण में आनंद का सरोवर और खुशी का खजाना सदैव विद्यमान रहता है। ये यादों और अनुभूतियों का वह भंडार घर है, जहाँ हमारा अंत:करण आज तक की सभी यादों और अनुभूतियों को संगृहीत करके रखता है। यह बहुत बुद्धिमान और चतुर है। यह आपका आज्ञाकारी दास भी हैं इसके विशाल संग्रह में से आत्मिक आनंद को प्राप्त करना है तो इसे उसी दिशा में निर्देशित करना होगा। बाह्य मन को कुछ देर के लिए शांत, स्थिर और गतिहीन कीजिए और अन्तर्मन को निर्देश दीजिये कि वह अपने संग्रह में से नकारात्मक यादों-अनुभूतियों को मिटा कर आपके लिए आनंद के अनमोल सच्चे मोती निकाल कर लाये। निरंतर अपने अंत:करण को यही आज्ञा देते रहिये और धीरे-धीरे वह कब आपको आत्मिक आनन्द और जीवन-स्फुर्ति से सराबोर कर देगा, आपको पता भी नहीं चलेगा।
Explanations:
Download our app to know more Lorem ipsum dolor sit amet consectetur adipisicing elit. Excepturi, esse.
Unlocking possibilities: Login required for a world of personalized experiences.