‘‘सतां हि सन्देहपदेषु वस्तुषु प्रमाणमन्त:करणप्रवृत्तय:’’ इति कस्य उक्ति:?
अंतर्राष्ट्रीय क्रिकेट में सर्वाधिक छक्के जड़ने वाले भारतीय कप्तान कौन है?
निम्न मेें से कौनसी भोज्य प्रोटीन, संदर्भ प्रोटीन मानी जाती है ?
What is called a shallow stretch of river that may be crossed on feet?
Which of the following statements represents the term 'gender difference'? निम्नलिखित में से कौन सा कथन ‘लैंगिक अन्तर’ शब्द का प्रतिनिधित्व करता है? I. Domestic work is considered to be the work of women. I. घरेलू काम को महिलाओं का काम माना जाता है। II. Any work outside the house is considered to be for boys. II. घर से बाहर कोई भी काम लड़कों के लिए माना जाता है।
The magnification of an image is +1.5 and the object distance is 30 cm from a spherical mirror. The image is formed at ..............
In ∆PQR, right angle is at Q, the length of PQ is 5 cm and ∠PRQ = 30º, find the length of QR.
The Speaker of the sixth Lok Sabha who later became the President of India was……
Which of the following statements about High-Level language is correct? उच्च-स्तरीय भाषा के सम्बन्ध में निम्नलिखित में से कौन-सा कथन सही है?
दिए गए गद्यांश के आधार पर प्रश्न के उत्तर दीजिए। राजा राममोहन राय हिंदू धर्म में सुधार के हिमायती और उसकी जगह ईसाई धर्म लाने के विरोधी थे। उन्होंने ईसाई धर्म प्रचारकों की हिंदू धर्म दर्शन पर अज्ञानपूर्ण आलोचनाओं का जवाब दिया। साथ ही उन्होंने अन्य धर्मों के प्रति अत्यंत मित्रतापूर्ण रुख अपनाया। उनका विश्वास था कि बुनियादी तौर पर सभी धर्म एक ही संदेश देते हैं कि उनके अनुयायी भाई-भाई हैंं। उन्होंने 1828 में ब्रह्म सभा नाम की एक नई धार्मिक संस्था की स्थापना की जिसको बाद में ब्रह्म समाज कहा गया। इसका उद्देश्य हिंदू धर्म को स्वच्छ बनाना और एकेश्वरवाद की शिक्षा देना था। नई संस्था के दो आधार थे, तर्क शक्ति, वेद तथा उपनिषद। उसे अन्य धर्मों की शिक्षाओं को भी समाहित करना था। ब्रह्म समाज ने मानवीय प्रतिष्ठा पर जोर दिया, मूर्तिपूजा का विरोध किया तथा सती प्रथा जैसी सामाजिक कुरीतियों की आलोचना की। वे औरतों के पक्के हिमायती थे। उन्होंने औरतों की परवशता की निंदा की तथा इस प्रचलित विचार का विरोध किया कि औरतें पुरुषों से बुद्धि में या नैतिक दृष्टि से निकृष्ट हैं। उन्होंने बहुविवाह तथा विधवाओं की अवनत स्थिति की आलोचना की। औरतों की स्थिति को सुधारने के लिए उन्होंने माँग की कि उन्हें विरासत और सम्पत्ति संबंधी अधिकार दिए जाएं। राममोहन राय आधुनिक शिक्षा के सबसे प्रारम्भिक प्रचारकों में से थे। वे आधुनिक शिक्षा को देश में आधुनिक विचारों के प्रचार का प्रमुख साधन समझते थे। डेविड हेअर ने 1817 में कलकत्ता में प्रसिद्ध हिंदू कॉलेज की स्थापना की। राजा राममोहन राय ने कलकत्ता में 1817 में अपने खर्च से एक अंग्रेजी स्कूल चलाया जिसमें अन्य विषयों के साथ यांत्रिकी और वाल्तेयर के दर्शन की पढ़ाई होती थी। उन्होंने 1825 में एक वेदांत कॉलेज की स्थापना की जिसमें भारतीय विद्या और पाश्चात्य सामाजिक तथा भौतिक विज्ञानों की पढ़ाई की सुविधाएँ उपलब्ध थीं। राजा राममोहन राय ने औरतों की स्थिति सुधारने के लिए निम्न में से कौन-सा प्रयास नहीं किया?
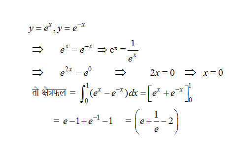
Explanations:
Download our app to know more Lorem ipsum dolor sit amet consectetur adipisicing elit. Excepturi, esse.
Unlocking possibilities: Login required for a world of personalized experiences.