Select the most appropriate option to fill in the blank. Stories of dolphins’saving human lives ________ throughout history.
Which is the best method of extension education among the given options? दिये गये विकल्पों में प्रसार शिक्षा की सर्वोत्तम विधि कौन-सी है?
After folding the sheet what is visible on the top? शीट को मोड़ने के बाद शीर्ष पर क्या दिखाई देता है?
Who among the following has described the world wide triumph of liberal democracy as the 'end of history'? निम्नलिखित में से किसने उदारवादी प्रजातंत्र की विश्वव्यापी विजय को ‘इतिहास के अंत’ के रूप में व्याख्यायित किया?
The type of masonary in which stones of irregular size and shape are used and there are no regular courses, is known as जिस प्रकार की चिनाई में अनियमित माप एवं आकार तथा कोई अनिरंतर रद्दा वाला पत्थर प्रयोग किया जाता है, उसे कहते है।
किसी वृत्त के केंद्र से 9 cm लंबा एक लम्ब उसकी जीवा तक खींचा जाता है जिसकी लंबाई 24 cm है। वृत्त की त्रिज्या__________ है।
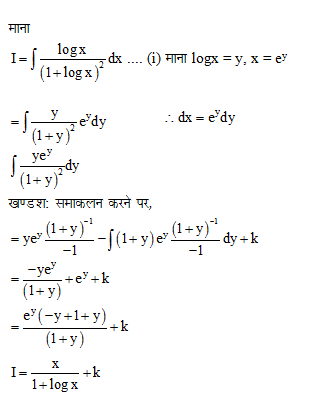
.
What is the value of 48 ÷ 3 × 5 – 6 × 3 + 5? 48 ÷ 3 × 5 – 6 × 3 + 5 का मान क्या है?
मैलेट निम्न में से किस पदार्थ का नहीं होता है-
Explanations:
Download our app to know more Lorem ipsum dolor sit amet consectetur adipisicing elit. Excepturi, esse.
Unlocking possibilities: Login required for a world of personalized experiences.