Which of the following uses infrared or radio signal to control the movement of the cursor?/निम्नलिखित में से किसमें कर्सर की गति को नियंत्रित करने के लिए इंफ्रारेड या रेडियो सिग्नल का उपयोग किया जाता है?
जब एक दुकानदार वस्तु A को `384 पर बेचता है, तो उसे 20 % की हानि होती है और जब वह वस्तु B को `400 पर बेचता है, तो उसे 25% का लाभ प्राप्त होता है। यदि वह दोनों वस्तुओं को कुल मिलाकर `852 पर बेचे, तो उसका लाभ/हानि प्रतिशत क्या होगा?
During which stage of school should we deal with posture problems especially while sitting, standing and reading or writing of a students ? विद्यालय के लिए अवस्था के दौरान हमें विशेष रूप से बैठने, खड़े होने और छात्र के पढ़ने या लिखने के दौरान आसन की समस्याओं से निपटाना चाहिए ?
A और B एक साथ मिलकर एक कार्य को 30 दिन में पूरा कर सकते हैं। C के साथ मिलकर, वे उसी कार्य को 24 दिन में पूरा कर सकते हैं। C अकेले उसी कार्य को कितने दिन में पूरा कर सकता हैं ?
Who kills Banquo?
भारत में सबसे पुराना उच्च न्यायालय कौन सा है?
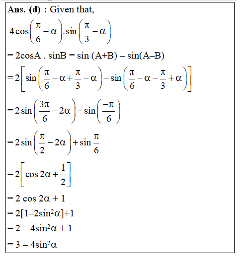
.
12% लाभ और 4% हानि पर किसी वस्तु के विक्रय मूल्यों का अंतर `28 था। वस्तु का क्रय मूल्य ज्ञात कीजिए।
The increasing order of the following mountain peaks of Uttarkhand according to their height will be :/उत्तराखण्ड की निम्न पर्वत चोटियों का उनकी ऊँचाई के अनुसार बढ़ता हुआ क्रम होगा : 1. Nanda Devi/ नंदा देवी 2. Panchachuli/पंचाचूली 3. Kedarnath/केदारनाथ 4. Kamet/कामेट
मुख्यमंत्री युवा स्वरोजगार योजना कब प्रारम्भ की गयी?
Explanations:
Download our app to know more Lorem ipsum dolor sit amet consectetur adipisicing elit. Excepturi, esse.
Unlocking possibilities: Login required for a world of personalized experiences.