प्रतिदीप्त ट्यूब में प्राय: किस पदार्थ का उपयोग किया जाता है?
मिशेल मार्टिन को हाल ही में किस देश का नया प्रधानमंत्री चुना गया है?
Bandhavgarh Sanctuary was declared as National Park in_____./बांधवगढ़ अभ्यारण्य _____में राष्ट्रीय उद्यान के रूप में घोषित किया गया था
2030 कॉमनवेल्थ गेम्स की मेज़बानी के लिए भारत ने किस शहर का प्रस्ताव रखा है?
Which type of preventer mechanism is use the bimetal relays for single phasing protection? एकल कला की सुरक्षा के लिए द्विधात्विक रिले का उपयोग किस प्रकार के निवारक तंत्र में किया जाता है?
This pig competed with Snowball for leadership of manor Farm
The basic principles of surveying needs to be followed for accurately locating the points on:
The study of human cognition has been approached mainly from three different perspectives, which are – मानव अनुभूति का अध्ययन मुख्य रूप से तीन अलग-अलग दृष्टिकोणों से किया गया है, जो हैं– I. The psychometric approach I. साइकोमैट्रिक दृष्टिकोण II. The development approach II. विकासात्मक दृष्टिकोण III. The information processing approach III. सूचना प्रसंस्करण दृष्टिकोण
The filler metal used in brazing has a melting point of above- ब्रेजिंग में प्रयुक्त भराव धातु का गलनांक ................. से अधिक होता है।
शिक्षा का उद्देश्य है-
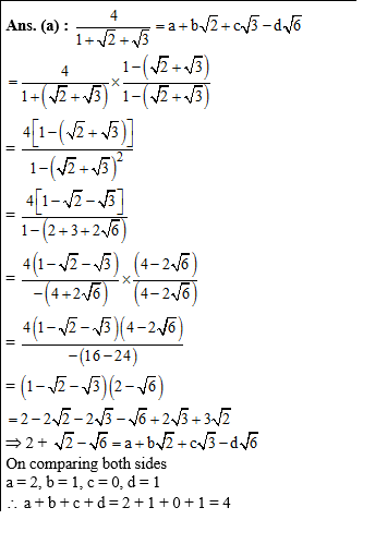
Explanations:
Download our app to know more Lorem ipsum dolor sit amet consectetur adipisicing elit. Excepturi, esse.
Unlocking possibilities: Login required for a world of personalized experiences.