यदि 28 संतरों का क्रय मूल्य 24 संतरों के विक्रय मूल्य के बराबर है, तो लाभ प्रतिशत ............... है।
भारत का पहला AI (आर्टिफिशियल इंटेलिजेंस) द्वारा संचालित असुरक्षित वन्यजीव संरक्षण केंद्र किस राज्य में स्थापित किया जाएगा?
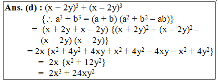
....
सही वर्तनी वाला शब्द कौन-सा है?
सामुदायिक विकास कार्यक्रमों का उद्देश्य क्या है?
डायल-अप नेटवर्किंग क्या है?
Bajirao I (1720-1740 AD) was the ruler of which dynasty?
कर्मवाच्ये कर्मण: प्रयोग: कस्यां विभक्तौ भवति?
एक निश्चित धनराशि 20% प्रतिवर्ष चक्रवृद्धि ब्याज दर से 2 वर्षों में ₹7200 हो जाती है। मूल धनराशि ज्ञात करें–
Material that does not deform on loading are called as ............
Explanations:
Download our app to know more Lorem ipsum dolor sit amet consectetur adipisicing elit. Excepturi, esse.
Unlocking possibilities: Login required for a world of personalized experiences.