A एक काम 8 घंटे में पूरा कर सकता है और B उसी काम को स्वतंत्र रूप से 12 घंटे में पूरा कर सकता है। यदि वे एक साथ कार्य करते हैं, तो वे उसी कार्य को कितने घंटे में कर सकते हैं?
निम्न में से कौन सी नदी पश्चिमी घाट से निकलने वाली तीन प्रमुख नदियों में से एक नहीं है?
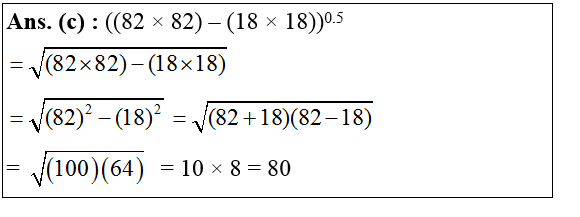
दीवार के सहारे रखी हुई एक सीढ़ी के पाद और दीवार के मध्य कोण 45⁰ है, और सीढ़ी का पाद दीवार से 6.6 मीटर दूर है। सीढ़ी की लम्बाई (मी. में) ज्ञात करें।
.
Which number form the given alternatives can come in place of the question mark (?) in the following series? 352, 288, 252, 236, ?
Who was the Chairman of the House Committee of the Constituent Assembly of India?
As a police officer, I can best demonstrate patriotism by :
क्रिसिल इंटेलिजेंस की रिपोर्ट ने अगले वित्त वर्ष (2025) में भारत की GDP वृद्धि दर का क्या अनुमान लगाया है?
What is the length to width of the A₂ drawing paper? A₂ आरेखन पेपर की लम्बाई और चौड़ाई का अनुपात क्या है।
अंतर्राष्ट्रीय तिथि रेखा ............... से होकर गुजरती है।
Explanations:
Download our app to know more Lorem ipsum dolor sit amet consectetur adipisicing elit. Excepturi, esse.
Unlocking possibilities: Login required for a world of personalized experiences.