The equation of continuity of flow is applicable when the .......... प्रवाह सांतत्य समीकरण लागू होता है–
कोलकाता में स्थित सूक्ष्म, ऋणदाता, बंधन फाइनेंशियल सर्विसेज को किस वर्ष में सार्वभौमिक बैंक शुरु करने के लिए RBI द्वारा सैद्धांतिक मंजूरी प्रदान की गई थी?
What was the capital of Maharaja Ranjit Singh’s kingdom?
Anil alone can complete a work in 28 days and Karan alone can complete the same work in half of the time taken by Anil. In how many days will both together complete 3/7 part of the total work? अनिल अकेले एक कार्य को 28 दिनों में पूरा कर सकता है तथा करन अकेले उसी कार्य को अनिल द्वारा लिए गए समय के आधे समय में पूरा कर सकता है। दोनों मिलकर कुल कार्य का 3/7 भाग कितने दिनों में पूरा करेंगे?
एक व्यक्ति, 75 km/h की चाल से किसी निश्चित दूरी को 8घंटे में तय करता है। समान दूरी को 6 घंटे में तय करने के लिए, उसकी चाल कितनी होनी चाहिए?
भारतीय संविधान के अनुच्छेद 80 के अनुसार, राज्य सभा के सदस्यों की कुल संख्या ________ से अधिक नहीं हो सकती है।
In Uttar Pradesh, it is famous for antimony industry. उत्तर प्रदेश में सुरमा उद्योग के लिए प्रसिद्ध है-
किस शासक द्वारा सर्वप्रथम पाटलिपुत्र का राजधानी के रूप में चयन किया गया
हाल ही में किस ऑस्ट्रेलियाई क्रिकेटर ने वनडे क्रिकेट से संन्यास की घोषणा की है?
Select the Venn diagram that best represents the relationship between the following classes. Parabola, Polygon, Hexagon
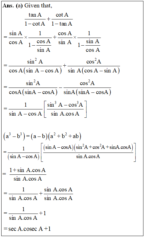
Explanations:
Download our app to know more Lorem ipsum dolor sit amet consectetur adipisicing elit. Excepturi, esse.
Unlocking possibilities: Login required for a world of personalized experiences.