टपकेश्वर मंदिर स्थित है –
भारतीय संविधान के किस अनुच्छेद में उल्लेख किया गया है कि बाहरी आक्रमण और आंतरिक अशांति से राज्यों की रक्षा करना केंद्र सरकार का कर्तव्य है?
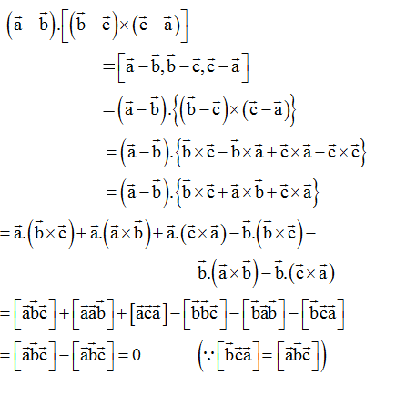
.
Rapid Hardening cement is prepared by adding higher percentage of शीघ्र कठोरीकरण सीमेंट को उच्च प्रतिशत में मिलाकर तैयार किया जाता है
जिन शब्दों से काम का करना या होना पाया जाए, उन्हें-
Sea Anemones belongs to the phylum
किस भारतीय दिग्गज क्रिकेटर ने अंतरराष्ट्रीय क्रिकेट से संन्यास की घोषणा की है?
Prohibition of discrimination on grounds of religion, race, caste, sex or place of birth, has been laid under ___ of the Fundamental Rights in the Constitution of India.
The chemical, that contributes to the destruction of ozone layer above the earth's surface, is पृथ्वी की सतह के ऊपर ओजोन पर्त को नष्ट करने में सहायक रसायन है:
Explanations:
Download our app to know more Lorem ipsum dolor sit amet consectetur adipisicing elit. Excepturi, esse.
Unlocking possibilities: Login required for a world of personalized experiences.