.
Which of the numbers given below is NOT rational number?
शब्दों को उनके क्षेत्र के आरोही क्रम में व्यवस्थित करें। 1. जिला 2. नगर 3. राज्य 4. पंचायत 5. देश
समानान्तर कहानी’ के प्रवर्तक हैं
Which of the following is also referred as versed sine of the curve ?
निम्नलिखित में से कौन 1983 के विश्व कप में भारतीय क्रिकेट टीम का कप्तान था?
Birha is the popular folk song of which group of tribal women?/बिरहा किस आदिवासी जनजाति की महिलाओं का लोकप्रिय लोकगीत है?
Select the option that is related to the third term in the same way as the second term is related to the first term. Maithili : Jharkhand : : Konkani : ?
Select the most appropriate synonym of the given word. INTRICATE
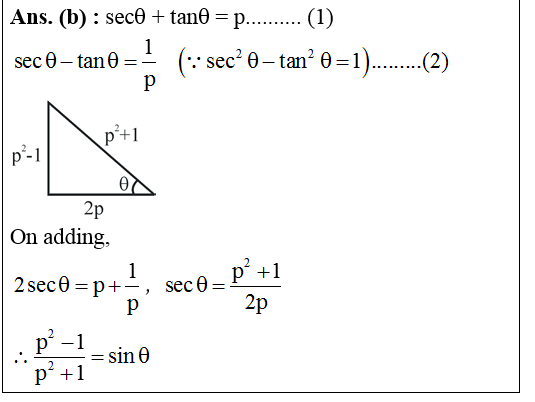
Explanations:
Download our app to know more Lorem ipsum dolor sit amet consectetur adipisicing elit. Excepturi, esse.
Unlocking possibilities: Login required for a world of personalized experiences.