Select the most appropriate synonym of the given word. Remission
उत्तराखण्ड के प्रथम वित्त आयोग अध्यक्ष कौन थे–
The second city of Delhi Siri was built by- दिल्ली का दूसरा शहर ‘सीरी’–––– द्वारा बनवाया गया था।
India's largest floating solar power plant is being set up in which state ? भारत का सबसे बड़ा तैरता हुआ सौर ऊर्जा संयत्र किस राज्य में स्थापित किया जा रहा है?
.
In a class of 100 students, the mean marks obtained in a certain subject is 25 and in another class of 50 students, the mean marks obtained in the same subject is 70. The mean marks obtained by the students of both the classes taken together.
‘हृषीकेश’ की संधि है -
दिए गए वाक्य का पक्ष ज्ञात कीजिए। रेल जा रही है।
`तस्मिन्नद्रौ कतिचिदबलाविप्रयुक्त: स कामी’ मेघदूत की इस पंक्ति के आगे की पंक्ति कौन-सी है?
What is the maximum number of Starred Questions for oral answers admitted for discussion on a particular day in the Lok Sabha?
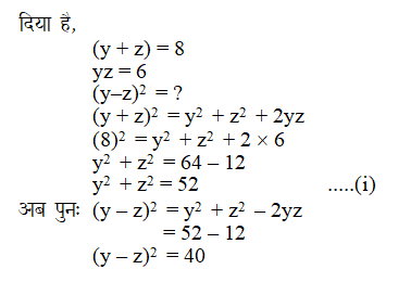
Explanations:
Download our app to know more Lorem ipsum dolor sit amet consectetur adipisicing elit. Excepturi, esse.
Unlocking possibilities: Login required for a world of personalized experiences.