An object weights 60 N when measured on the surface of the earth, its weight on the lunar surface will be-
Central line method for estimation is suitable for__________. प्राक्कलन के लिए केन्द्र रेखा विधि ______के लिए उपयुक्त है।
In the sentence identify the segment which contains the grammatical error. I am sure that neither Juhi nor Jaya are responsible for breaking the vase.
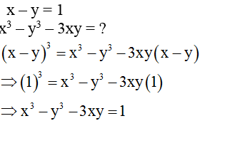
.
किसने यह तर्क दिया कि ‘लोकतंत्र, पूँजीवाद और उदारवाद’ सभी एक ही चीज के वैकल्पिक नाम है?
पत्थर की बनी नृत्य करते हुए पुरुष की मूर्ति, ‘नटराज’ किस स्थान पर पाई गई थी?
हर साल भारतीय नौसेना दिवस कब मनाया जाता है?
गेहूँ का अच्छी प्रकार भन्डारण करने के लिए न्यूनतम नमी होनी चाहिए–
Infant mortality rate is शिशु मृत्यु-दर है
When the rotor of a three-phase induction motor runs at synchronous speed, its rotor frequency will become- जब 3-फेज प्रेरण मोटर का रोटर तुल्यकाली गति से चलता है, तो इसकी रोटर आवृत्ति ........ हो जाएगी–
Explanations:
Download our app to know more Lorem ipsum dolor sit amet consectetur adipisicing elit. Excepturi, esse.
Unlocking possibilities: Login required for a world of personalized experiences.