Q: यदि शांत जल में नाव की चाल x किमी/घंटा और धारा की चाल y किमी/घंटा हो और एक स्थान पर पहुंचने और वहां से वापस लौटने में लगा समय 't' घंटे हो, तो किसी एक दिशा में तय की गई दूरी ज्ञात करें।
A.
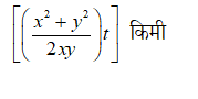
B.
C.
D.
Correct Answer:
Option B -
Explanations:
Download Our App
Download our app to know more Lorem ipsum dolor sit amet consectetur adipisicing elit.
Excepturi, esse.
YOU ARE NOT LOGIN
Unlocking possibilities: Login required for a world of personalized
experiences.