_____ is the study of fungi.
Which of the following compositions of compounds bears the maximum portion of Bogue's compounds present in ordinary Portland cement
किरातार्जुनीये कस्य रसस्य प्रधानता?
एक शिक्षक बच्चों को प्रभावी रूप से समस्या का समाधान करने में सक्षम बनने के लिए किस तरह से प्रोत्साहित कर सकती है?
निम्न कथनों में से कौन-सा सही है? (i) उत्तर से दक्षिण भारत की तरफ दर्ज तापमान घटता है। (ii) उत्तरी भारत के मैदानों में वर्षा पश्चिम से पूर्व की तरफ बढ़ती है।
जियोस्टेशनरी उपग्रह अनुमानत: किस ऊँचाई पर होते हैं?
निर्देश-दिये गए निम्नलिखित गद्यांश के आधार पर प्रश्नों के उत्तर दिजिए। लक्ष्मण ने अकृत्रिम भ्रातृस्नेह के कारण बड़े भाई का साथ दिया। उन्होंने राज-पाट छोड़ कर अपना शरीर रामचंद्र को अर्पण किया। यह बहुत बड़ी बात है पर उर्मिला ने इससे भी बढ़कर आत्मोत्सर्ग किया। उसने अपनी आत्मा की अपेक्षा अधिक प्यारा अपना पति राम-जानकी के लिए दे डाला और यह आत्मसुखोत्सर्ग उसने तब किया जब उसे ब्याह कर आये हुए कुछ ही समय हुआ था। उसने अपने सांसारिक सुख के सबसे अच्छे अंश से हाथ धो डाला। जो सुख विवाहोत्तर उसे मिलता उसकी बराबरी 14 वर्ष पति-वियोग के बाद का सुख कभी नहीं कर सकता। नवोढ़त्व को प्राप्त होते ही जिस उर्मिला ने रामचंद्र और जानकी के लिए अपने सुख-सर्वस्व पर पानी डाल दिया उसी के लिए अंतर्दर्शी आदि कवि के शब्द-भण्डार में दरिद्रता। लेखक को क्या दु:ख है?
The bracing provided in the plane of end posts is called अंतिम पदों के समतल में दिए गए ब्रेसिंग को क्या कहा जाता है– (म्)
उस विकल्प का चयन करें, जिसका तीसरे पद से वही संबंध है, जो दूसरे पद का पहले पद से है, और छठे पद का पांचवे पद से है। 392 : 7 :: 1452 : ? :: 810 : 9
Which of the following in not an Operating System?
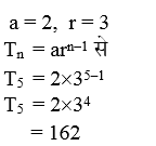
Explanations:
Download our app to know more Lorem ipsum dolor sit amet consectetur adipisicing elit. Excepturi, esse.
Unlocking possibilities: Login required for a world of personalized experiences.