Which one of the following statements is FALSE w.r.t. “Page setup” in MS-Word (Microsoft 365 version)? एमएस-वर्ड (माइक्रोसॉफ्ट 365 संस्करण) में ‘‘पेज सेटअप (Page Setup)’’ के संबंध में निम्नलिखित में से कौन-सा कथन असत्य है?
Write the largest 5 digit number which when divided by 469 leaves 3 as remainder :
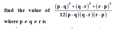
.
आजकल अनुशासन के अभाव में विद्यार्थियों में उच्शृंखलता आती है। रेखांकित शब्द को शुद्ध करें–
The layers of the TCP/IP protocol are: TCP/IP प्रोटोकॉल की लेयर है–
Which of the following country was established in 1971?
पृथ्वी, ग्रहों, तारों आदि का स्थान - वाक्यांश के लिए उचित शब्द होगा?
Train A takes 1 hour more than train B to travel a distance of 720 km. Due to engine trouble, speed of train B falls by one third, so it takes 3 hours more than Train A to complete the same journey? What is the speed of Train A (in km/hr)?
तेलीय पदार्थों की आग बुझाने हेतु कौन-सा अग्निशामक प्रयोग होता है?
Explanations:
Download our app to know more Lorem ipsum dolor sit amet consectetur adipisicing elit. Excepturi, esse.
Unlocking possibilities: Login required for a world of personalized experiences.