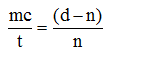
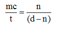
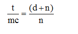
Q: With usual notations the depth of the neutral axis of a balanced section, is given by: सामान्य सकेतनों के साथ, एक सन्तुलित खण्ड के तटस्थ अक्ष की गहराई, को इसके द्वारा दिया जाता है
A.
B.
C.
D.
Correct Answer:
Option D -
Explanations:
Download Our App
Download our app to know more Lorem ipsum dolor sit amet consectetur adipisicing elit.
Excepturi, esse.
YOU ARE NOT LOGIN
Unlocking possibilities: Login required for a world of personalized
experiences.