राष्ट्रीय राजमार्ग 135 (NH-135) का पुराना नाम क्या है?
The horse jumped .......... the well.
Cholesterol is synthesised in कोलेस्ट्रॉल संश्लेषित होता है, इसमें–
स्वर्ण जयन्ती ग्राम स्वरोजगार योजना किस वर्ष प्रारम्भ की गई थी?
If in a certain code language, 'STARE' is written as 19201185 how will the word MOULD be written in that code language?
200 MeV energy can be obtained by each fission of U²³⁵ . A reactor is developing 1000 kilowatt power. The number of nuclei, to be disintegrated in every second in the reactor, is U²³⁵ के प्रति विखण्डन से 200 MeV ऊर्जा प्राप्त हो सकती है। एक रियेक्टर से 1000 किलोवाट शक्ति उत्पन्न हो रही है। रियेक्टर में प्रति सेकेण्ड में विखण्डित होने वाले नाभिकों की संख्या है
The radix/base of octal number system is- अष्टक संख्या प्रणाली (octal number system) का मूलांक/आधार कितना होता है?
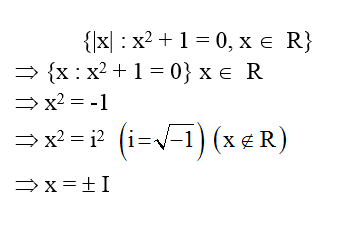
.
भारतीय संघ के प्रधानमंत्री और अन्य मंत्रियों को भारत के संविधान के _______ के तहत राष्ट्रपति द्वारा नियुक्त किया जाता है।
Alkaline soils are best reclaimed by :
Explanations:
Download our app to know more Lorem ipsum dolor sit amet consectetur adipisicing elit. Excepturi, esse.
Unlocking possibilities: Login required for a world of personalized experiences.