Q: Which of the following is the dimensional formula for the specific speed of a turbine? निम्नलिखित में से कौन सा विमीय सूत्र टरबाइन की विशिष्टि गति के लिए है–
A.
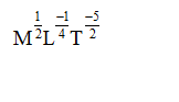
B.
C.
D.
Correct Answer:
Option B -
Explanations:
Download Our App
Download our app to know more Lorem ipsum dolor sit amet consectetur adipisicing elit.
Excepturi, esse.
YOU ARE NOT LOGIN
Unlocking possibilities: Login required for a world of personalized
experiences.