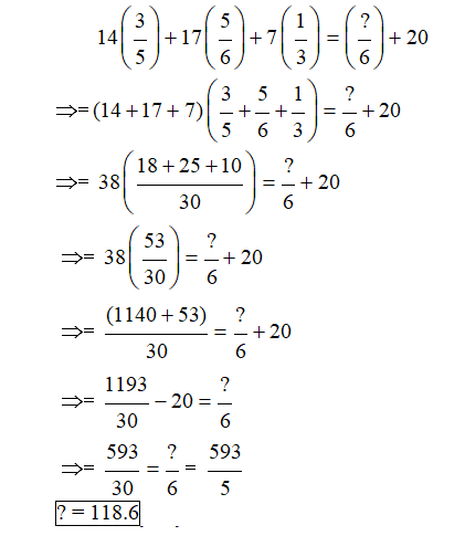
Q: What will come in place of question mark (?) in the following question? निम्नलिखित प्रश्न में प्रश्नवाचक चिन्ह (?) के स्थान पर क्या आएगा? 14(3/5) + 17(5/6) + 7(1/3) = ?/6 + 20
A.
118.6
B.
141
C.
171
D.
161
Correct Answer:
Option A -
Explanations:
Download Our App
Download our app to know more Lorem ipsum dolor sit amet consectetur adipisicing elit.
Excepturi, esse.
YOU ARE NOT LOGIN
Unlocking possibilities: Login required for a world of personalized
experiences.