Select the most appropriate ANTONYM of the given word. Overlook
What is the correct sequence of following mountain ranges of India from north to south? 1. Vindhya Range 2. Aravalli Range 3. Ajanta Range 4. Satpura Range भारत की निम्नलिखित पर्वतमालाओं का उत्तर से दक्षिण तक सही क्रम क्या है? (1) Vindhy Range/विंध्य पर्वतमाला (2) Aravalli Range /अरावली पर्वतमाला (3) Ajanta Range /अजंता पर्वतमाला (4) Satpura Range /सतपुड़ा पर्वतमाला
Which of the following works of William Shakespeare is written in six-line stanza and shows decided signs of immaturity?
‘पावक:’ शब्द का सन्धि-विच्छेद होता है–
L, M, N और O भाई हैं। L, O से काला है, N उन सब में गोरा है, M, O से गोरा है, तो उनमें सबसे काला कौन है?
ब्याज की गणना वार्षिक चक्रवृद्धि आधार पर करते हुए, राहुल किसी निश्चित धनराशि को 60% वार्षिक चक्रवृद्धि ब्याज की दर पर दो वर्ष के लिए निवेशित करता है। यदि दो वर्ष के अंत में उसे ₹11,700 ब्याज प्राप्त होता है, तो वह शुरू में कितनी धनराशि निवेशित करता है?
An object of mass 15 kg is moving with uniform velocity that of 7 ms-¹. What is the kinetic energy of that object ?
In...............forests, trees shed their leaves in a particular season
The Banking Regulation Act was passed in India in _____. भारत में बैंकिंग विनियमन अधिनियम –––––– में पारित किया गया था।
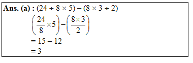
If '+' means '–', '–' means '×', '×' means '÷', and ÷ means '+' then in the following equation what in place of question mark (?) will come? 11 – 42 × 6 ÷ 69 + 27 = ?
Explanations:
Download our app to know more Lorem ipsum dolor sit amet consectetur adipisicing elit. Excepturi, esse.
Unlocking possibilities: Login required for a world of personalized experiences.