निर्देश (प्रश्न संख्या H-9 से H-18 तक) : निम्नलिखित अपठित गद्यांशों को ध्यानपूर्वक पढ़िए और दिए गए प्रश्नों के सही विकल्प चुनकर उत्तर-पत्रक में चिह्नित कीजिए। आदर्श व्यक्ति सद्कर्मों में आस्था रखता है। इसी में वह अपने जीवन की सार्थकता समझता है। उसके जीवन का प्रत्येक क्षण सद्कर्म में ही व्यतीत होता हैं विश्राम और विनोद के लिए उसके पास निश्चित समय रहता है। वह शेष समय समाज के उत्थान में लगाता है। उसके जीवन में आलस्य के लिए कोई स्थान नहीं होता। विपत्तियों में भी वह अपने चरित्र का सच्चा परिचय देता है। धैर्यरूपी कुदाल से वह बड़े-बड़े संकटरूपी पर्वतों को निर्मूल कर देता है। उसकी कार्यकुशलता देखकर लोग आश्यर्च विमूढ़ हो जाते हैं। वह परिस्थितियों का दास नहीं होता, परिस्थितियाँ उसकी दासी होती है। इस अर्थ में उसका चरित्र प्रशंसनीय होता है कि वह धैर्य से अपने सारे संकट दूर करता है। लोग आश्चर्यविमूढ़ क्यों होते हैं ?
Who acted as the President after the death of Fakhruddin Ali Ahmed until a new President was elected?
‘गधा’ का तत्सम रूप है–
यूएस-इंडिया टैक्स फोरम का प्रमुख किसे नियुक्त किया गया है?
Which test is used for soundness of bricks ? ईटों की निर्दोषिता के लिए कौन-सा परीक्षण उपयोग किया जाता है।
Which of the given options would be a logical sequence of the following places when arranged in a clockwise manner starting from north on India’s Map? 1. Ladakh 2. Goa 3. Puducherry 4. Punjab 5. Odisha
How many chromosomes are there in the human being? मानव जीव में कितने गुणसूत्र होते है?
Which of the following countries introduced Universal Adult Suffrage for its democratic polity from the very beginning? निम्नलिखित में से किस देश ने एकदम आरम्भ से ही अपनी लोकतांत्रिक व्यवस्था में सार्वभौमिक वयस्क मताधिकार लागू किया था?
Which of the following statements is NOT a reason for the versatile nature of carbon? निम्नलिखित में से कौन-सा कथन कार्बन की सर्वतोमुखी प्रकृति का कारण नहीं है?
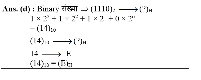
.
Explanations:
Download our app to know more Lorem ipsum dolor sit amet consectetur adipisicing elit. Excepturi, esse.
Unlocking possibilities: Login required for a world of personalized experiences.