A shopkeeper decides to increase the marked price of an item by 10%. What discount percent should he give on that item so that he can sell that item at the original marked price?
ब्राउन एटीएम (स्वचालित टेलर मशीन) के संदर्भ में निम्नलिखित में से कौन सा सही है?
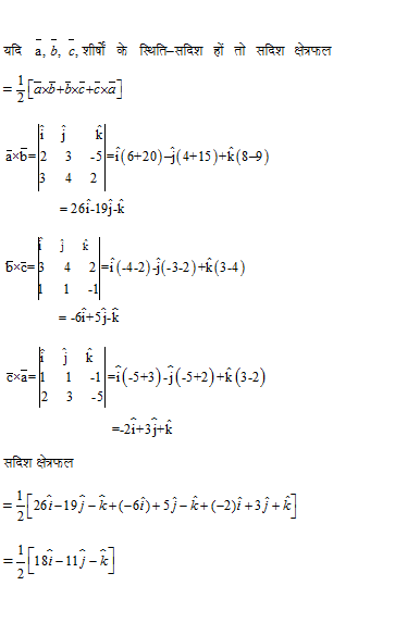
.
Vertical control in surveying means/सर्वेक्षण में ऊर्ध्वाधर नियंत्रण का अर्थ है :
In which year was the battle discussed in the passage fought?
‘लौटकर आया हुआ’ के लिए उपयुक्त एक शब्द होगा
इम्फाल किस भारतीय राज्य की राजधानी है?
शिक्षा पर होने वाला व्यय............पर होने वाले व्यय के बराबर है।
The pouch connected to the junction of the small intestine and the large intestine is called :
Which of the following operator is used to access the value of structure pointer ? इनमें से कौन सा ऑपरेटर संरचना प्वाइंटर की वैल्यू को एक्सेस करता है।
Explanations:
Download our app to know more Lorem ipsum dolor sit amet consectetur adipisicing elit. Excepturi, esse.
Unlocking possibilities: Login required for a world of personalized experiences.