Q: Triangle PQR is inscribed in the circle whose radius is 14 cm. If PQ is the diameter of the circle and PR = 10 cm, then what is the area of the triangle PQR ?
A.
196
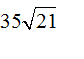
B.
C.
D.
Correct Answer:
Option B -
Explanations:
Download Our App
Download our app to know more Lorem ipsum dolor sit amet consectetur adipisicing elit.
Excepturi, esse.
YOU ARE NOT LOGIN
Unlocking possibilities: Login required for a world of personalized
experiences.