Which of the following is not a characteristic of work?
M 20 grade concrete means its compressive strength of 15 cm cube is 20 N/mm2 after
,
निम्नलिखित में से कौन–सा लोकसभा का सत्र नहीं है
A Tool signature consists of एक औजार नामकरण के होते हैं-
निम्नलिखित गद्यांश को ध्यानपूर्वक पढ़कर उसपर आधारित प्रश्न का सटीक उत्तर दीजिए : (89-93) कुछ लोग विज्ञान को इसलिए अभिशाप मानते हैं। कि इसने बड़े-बड़े संहारक अस्त्रों को जन्म दिया है। इसीलिए विज्ञान को घातक हथियारों का जनक कहा जाता है। इन घातक हथियारों के इस्तेमाल से सारे संसार को मिनटों में नष्ट किया जा सकता है। देखा जाए तो हथियारों की यह दौड़ विज्ञान के कारण नहीं बल्कि वर्तमान विश्व का असंतुलित विकास, गरीब और अमीर देशों में दुनिया का विभाजन तथा विकसित पूँजीवादी देशों पर प्रभुत्व बनाने की महत्वाकांक्षा ने इस विकार को जन्म दिया है। अत: विज्ञान को अभिशाप होने से बचाने के लिए विश्व व्यवस्था में परिवर्तन करना होगा। नयी व्यवस्था में हथियारों की दौड़ समाप्त होगी और विज्ञान अभिशाप कहलाने के कलंक से बच जाएगा। हथियारों की दौड़ किसका परिणाम है?
P, Q और R का भाई है। S, R की माँ है। T, P का पिता है। निम्नलिखित में से कौन-सा कथन निश्चित रूप से सत्य नहीं हो सकता है?
Who among the following built the first European fort in India in the year 1503?
तराई-भाभर में पटवारी और कानूनगों की नियुक्ति के नियम, सर्वप्रथम निर्धारित किये गए –
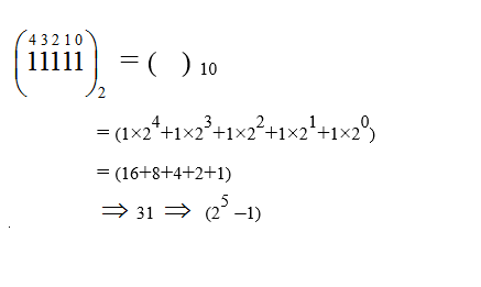
Explanations:
Download our app to know more Lorem ipsum dolor sit amet consectetur adipisicing elit. Excepturi, esse.
Unlocking possibilities: Login required for a world of personalized experiences.