Headquarters of Narmada Control Authority is located at ? नर्मदा नियंत्रण प्राधिकरण का मुख्यालय अवस्थित है।
For deformed bars conforming to IS 1786, the design bond stress in limit state method shall be:
As per IS: 456-2000, partial safety factor for Dead Load in limit state of collapse for load combination DL+LL is:
प्रसिद्ध सम्पादक, कवयित्री, विदुषी और लेखिका इन्दिरा गोस्वामी को कौन सी भाषा के लिए ज्ञानपीठ पुरस्कार दिया गया?
Which of the following is not a metalloid? निम्नलिखित में क्या एक उपधातु नहीं है?
संध्या की केवल एक पुत्री है। सुखी की बहन रीना संध्या की मौसी है। सुखी की मां ब्रूना की केवल दो परनातिन एनम और जैस्मिन है। रीना के दो नाती-नातिन रोहन और एनम हैं। संध्या की बेटी कौन है ?
स्कन्दगुप्त के शासनकाल में सुराष्ट्र का प्रान्तपति निम्नलिखित में कौन था?
Four words are given, out of which three are alike in some way and one is inconsistent. Select the inconsistent one.
किसने ‘बहुबुद्धि सिद्धांत’ प्रतिपादित किया था?
भारत में पंचायतों की संख्या कितनी है?
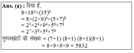
Explanations:
Download our app to know more Lorem ipsum dolor sit amet consectetur adipisicing elit. Excepturi, esse.
Unlocking possibilities: Login required for a world of personalized experiences.