.
‘येषामुदयेन न केवलमार्यावर्त:’ इत्यत्र ‘आर्यावर्त:’ इति किं निर्दिशति ?
The simple interest on रु 1280 at 5% p.a. for 3 years is:
The average marks of 40 students was 72; After re-checking it was found that the marks of two students was erroneously read as 52 and 75 instead of 62 and 85. What is the correct average of the total students?
2028 Summer Olympics will be hosted by which of the following cities? 2028 के ग्रीष्मकालीन ओलंपिक की मेजबानी निम्नलिखित में से किस शहर के द्वारा की जाएगी?
As per IRC, which type of bridge loading is to be adopted within the Municipal Limits?/ IRC के अनुसार नगर निगम सीमा के भीतर किस प्रकार की पुल भार अपनाई जाती है।
दीन दयाल उपाध्याय ग्राम ज्योति योजना के सन्दर्भ में सत्य कथन का चयन करें। 1. यह योजना नवंबर, 2015 में शुरू की गयी थी। 2. इस योजना के अन्तर्गत सरकार 1500 दिनों के भीतर 17245 अविद्युतीकृत गाँवों को विद्युतीकरण करेगी। 3. यह योजना नवंबर, 2014 में प्रारम्भ की गयी थी। 4. योजनांतर्गत भारत सरकार 1000 दिनों के भीतर 1 मई 2018 तक 18452 अविद्युतीकृत गाँवों का विद्युतीकरण करने का फैसला किया था।
दिए गए तीन समीकरणों में से, पहले दो को एक निश्चित पद्धति के आधार पर हल किया गया है। उसी आधार पर तीसरे समीकरण का सही उत्तर ज्ञात कीजिए। 32 × 34 = 96 25 × 14 = 29 18 × 51 = ?
उत्तम शिक्षक को न्यूनतम ढ़ँग से किस स्तर तक शिक्षण करना चाहिए?
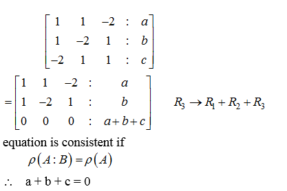
Explanations:
Download our app to know more Lorem ipsum dolor sit amet consectetur adipisicing elit. Excepturi, esse.
Unlocking possibilities: Login required for a world of personalized experiences.