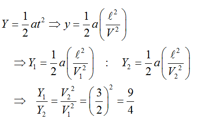
Q: The ratio between the speeds of two cathode ray beams is 2:3. If same transverse electric field is applied on these beams then ratio between the deflections will be दो कैथोंड किरण पुंजों की चालों का अनुपात 2:3 है। यदि इन पुंजों पर समान अनुप्रस्थ वैद्युत क्षेत्र लगाया जाये तो विक्षेपों का अनुपात होगा
A.
2:3
B.
3:2
C.
9:4
D.
4:9
Correct Answer:
Option B -
Explanations:
Download Our App
Download our app to know more Lorem ipsum dolor sit amet consectetur adipisicing elit.
Excepturi, esse.
YOU ARE NOT LOGIN
Unlocking possibilities: Login required for a world of personalized
experiences.