Q: The length of the shadow of a vertical tower on level ground increases by 8.4 cm when the altitude of the sun changes from 45º to 30º. What is the height of the tower (in m)?
A.
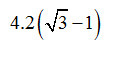
B.
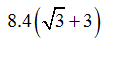
C.
D.
Correct Answer:
Option D -
Explanations:
Download Our App
Download our app to know more Lorem ipsum dolor sit amet consectetur adipisicing elit.
Excepturi, esse.
YOU ARE NOT LOGIN
Unlocking possibilities: Login required for a world of personalized
experiences.