यदि 97%61 = 7, 64%52 = 5 तो 92%65 का मान ज्ञात कीजिये ?
Permeability is a reciprocal of-/चुम्बकशीलता के व्युत्क्रमानुपाती होता है।
धातुओं के पतली तार के रूप में ढलने की विशेषता क्या कहलाती है?
________ is defined as the number of gram equivalent weights of solute dissolved per litre of the solution प्रति लींटर विलयन में घुले विलेय के ग्राम तुल्यांकी भारों की संख्या को _______ कहते हैं।
India is called a secular country because citizens have the fundamental right to :
Who among the following was popularly known as the Parrot of India ?
What letter will come next in the series? A C F J O ?
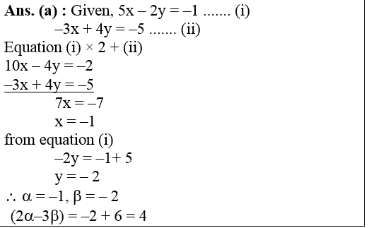
.
निम्न में से कौन सा संस्कृत कवि मध्य प्रदेश का नहीं है?
Explanations:
Download our app to know more Lorem ipsum dolor sit amet consectetur adipisicing elit. Excepturi, esse.
Unlocking possibilities: Login required for a world of personalized experiences.