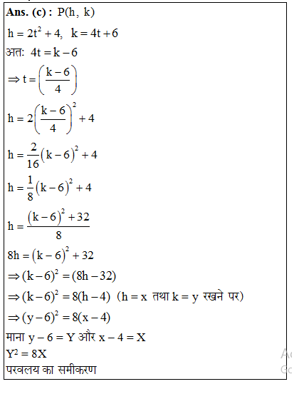
Q: The co-ordinates of a moving point are (2t² + 4, 4t + 6). Its locus will be एक चलायमान बिन्दु के निर्देशांक (2t² + 4, 4t + 6) हैं। इसका बिन्दुपथ होगा
A.
Circle/वृत्त
B.
Straight lineसरल रेखा
C.
Parabola/परवलय
D.
None of the above/उपर्युक्त में से कोई नहीं
Correct Answer:
Option C -
Explanations:
Download Our App
Download our app to know more Lorem ipsum dolor sit amet consectetur adipisicing elit.
Excepturi, esse.
YOU ARE NOT LOGIN
Unlocking possibilities: Login required for a world of personalized
experiences.