एक अध्यापक होने के नाते आप एक बच्चे की उसके ‘कुल भाषा प्रयोग’ के लिए प्रशंसा करते हैं। यद्यपि उसने कुछ शब्दों की वर्तनी गलत लिखी है। आप कक्षा में किस उपागम की प्रयोग कर रहे हैं?
राष्ट्रीय आतंकवाद विरोधी दिवस प्रतिवर्ष कब मनाया जाता है?
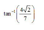
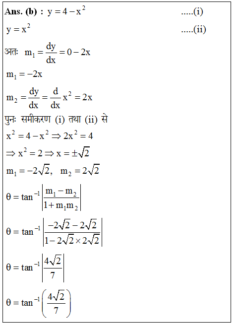
.
Find two consecutive numbers where thrice the first number is more than twice the second number by 5.
Stream lines and path lines always coincide in case of इस अवस्था में धारा रेखायें और पथ रेखायें हमेशा संपाती हैं–
चिर/चीर का अर्थ क्या है :
बाएं हाथ के महान स्पिनर डैरेक अंडरवुड का निधन हो गया, वह किस देश से सम्बंधित थे?
According to Central Building Research Institute, what is the specification adopted for the floor of single and double- story buildings? केन्द्रीय भवन अनुसंधान संस्थान (CBRI) के अनुसार, एक और दो मंजिला इमारतों के फर्श के लिए किन विनिर्देशों को अंगीकृत किया गया है?
6 अप्रैल, 1930 को चंपारण में नमक सत्याग्रह का नेतृत्व किसने किया
A boat can go 3.6 km upstream and 5.4 km downstream in 54 minutes, while it can go 5.4 km upstream and 3.6 km downstream in 58.5 minutes. The time (in minutes) taken by the boat in going 10 km downstream is:
Explanations:
Download our app to know more Lorem ipsum dolor sit amet consectetur adipisicing elit. Excepturi, esse.
Unlocking possibilities: Login required for a world of personalized experiences.