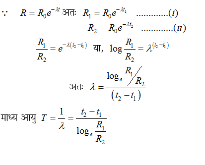
Q: The activity of certain radioactive substance at time t₁ is R₁ and at time t₂ the activity is R₂. Then average life will be (Given that t₂ > t₁) किसी रेडियोएक्टिव पदार्थ की समय t₁ पर सक्रियता R₁ तथा समय t₂ पर सक्रियता R₂ हो, तो औसत आयु होगी, (दिया t₂ > t₁ है)
A.
B.
C.
D.
Correct Answer:
Option C -
Explanations:
Download Our App
Download our app to know more Lorem ipsum dolor sit amet consectetur adipisicing elit.
Excepturi, esse.
YOU ARE NOT LOGIN
Unlocking possibilities: Login required for a world of personalized
experiences.