दक्षिण अफ्रीका से भारत लौटने के बाद महात्मा गांधी ने 1916 में किस विश्वविद्यालय में पहली बार सार्वजनिक तौर पर संबोधित किया था ?
Which of the following is a stratified rock? निम्न में से कौन एक स्तरीकृत चट्टान है ?
Which of the following is taken as the highest safe speed limit derived from spot speed study. for a highway?
Which of the following statements is INCORRECT with regard to the voltage regulation of an alternator? एक प्रत्यावर्तक के, वोल्टता विनियमन के सम्बन्ध में निम्नलिखित में से कौन सा कथन असत्य है?
Taps A and B can fill a tank in 15 minutes and 10 minutes, respectively while tap C can empty the full tank in x minutes. If all the three taps are opened together, the tank is filled completely in 8 minutes. Tap C alone will empty 3/8th part of the tank in:
प्राथमिक कक्षा की एक शिक्षिका अपने विद्यार्थियों में गणितीय तर्कणा/विवेचन के कौशल के विकास पर ध्यान केंद्रित कर रही है निम्नलिखित में से कौन-सी कार्य उसकी सबसे उपयुक्त तरीके से सहायता कर सकते हैं?
If ‘P’ means ‘Division ’ ‘T’ means ‘addition ’ ‘M’ means subtraction’ and ‘D’ means ‘multiplication’ then the value of 12 M 12 D 28 P 7 T 15 ?
In which year Ministry of Environment was set up in India? भारत में पर्यावरण मंत्रालय किस वर्ष में स्थापित किया गया था?
Which type of levelling is used for establishing a benchmark with high precision at widely distant points? व्यापक दूरी के बिंदुओं पर उच्च परिशुद्धता के साथ बेंचमार्वâ स्थापित करने के लिए किस प्रकार के तलेक्षण का उपयोग किया जाता है?
Who organized the 'Azad Dasta'? ‘आजाद दस्ता’ की स्थापना किसने की?
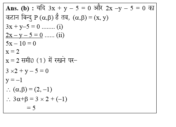
Explanations:
Download our app to know more Lorem ipsum dolor sit amet consectetur adipisicing elit. Excepturi, esse.
Unlocking possibilities: Login required for a world of personalized experiences.