In the following passage some words have been deleted. Fill in the blanks with the help of the alternatives given. Select the most appropriate option for each blank. The political condition of India in the eighteenth century was one of extreme disunity. (1)____the decline of the Mughal empire, no (2)_____Indian power emerged to take its (3)_____ in strength and prestige and to unite the (4) _____ under a central authority. The Marathas who rose (5)____ the position of pre-eminence among the new Indian states did not prove capable of fulfilling that task. Select the most appropriate option for blank No. 5
वाटर कूलिंग सिस्टम में सिलेण्डर ब्लॉक व सिलेण्डर हैड में बने होते हैं–
रेडिएटर प्राय: किस धातु से बनाए जाते हैं?
.
एक निश्चित कूट भाषा में : 'learn life lessons' को 'lo ma ku' के रूप में लिखा जाता है, 'lessons are good' को'pi rh ma' के रूप में लिखा जाता है, 'lead good life' को 'lo ja pi' के रूप में लिखा जाता है। दी गई कूट भाषा में 'learn' के लिए किस कूटशब्द का उपयोग किया गया है?
हाल ही में, भारत का विदेशी मुद्रा भंडार 27 जून 2025 को समाप्त सप्ताह के दौरान बढ़कर कितने बिलियन अमेरिकी डॉलर हो गया है?
वर्ष 1975 और 1987 के तीसरी दुनिया, USA और UK के बीच मुद्रा स्फीति की दर में अनुपात ज्ञात कीजिए ?
The constitution of India was framed by : भारत के संविधान का गठन.........द्वारा किया गया था।
Which level has internal compensator mechanism to automatically adjust the line of sight? दृष्टि की रेखा को स्वचालित रूप से समायोजित करने के लिए आंतरिक कम्पनसेटर तंत्र किस लेवल में है?
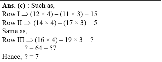
Explanations:
Download our app to know more Lorem ipsum dolor sit amet consectetur adipisicing elit. Excepturi, esse.
Unlocking possibilities: Login required for a world of personalized experiences.