Article 76 of the Indian Constitution deals with which of the following?
______ is done monthly by measuring height and weight of the child. ..............मासिक रूप से बच्चे की ऊंचाई और वजन को मापकर किया जाता है।
The poportion among three numbers is 3:4:5 and their LCM is 1800. The second number is: तीन संख्याओं का अनुपात 3 : 4 : 5 है और उनका लघुत्तम समापवर्त्य (LCM) 1800 है, तो दूसरी संख्या ज्ञात कीजिए।
चिप डिजाइन के लिए NIELIT उत्कृष्टता केंद्र का उद्घाटन कहां किया गया?
A circle is inscribed in a triangle ABC. It touches sides AB, BC and AC at points R, P and Q, respectively. If AQ = 3.5 cm, PC = 4.5 cm and BR =7 cm, then the perimeter (in cm) of the triangle ∆ABC is:
Side face reinforcement is PROVIDED in a beam when the depth of the web exceeds _____ mm.
In the play 'Hayavadana' who is the narrator of the story?
यू. पी. एस. आई. डी. सी. का मुख्यालय है-
In a certain code language, MENTION is written as NEITNOM, How will PATTERN be written as in that language?
In tacheometric survey, the additive constant is given by: (Where, f - focal length of objective d - distance between optical centre and vertical axis of instrument) टैकोमीटरी सर्वेक्षण में, संयोज्य स्थिरांक.........द्वारा जाता है। (जहाँ f - वस्तु की फोकस दूरी, d - उपकरण के प्रकाशीय केन्द्र तथा उर्ध्वाधर अक्ष के बीच की दूरी है।)
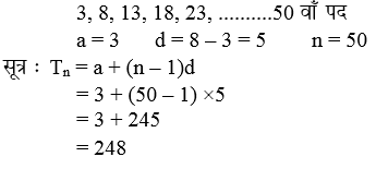
Explanations:
Download our app to know more Lorem ipsum dolor sit amet consectetur adipisicing elit. Excepturi, esse.
Unlocking possibilities: Login required for a world of personalized experiences.