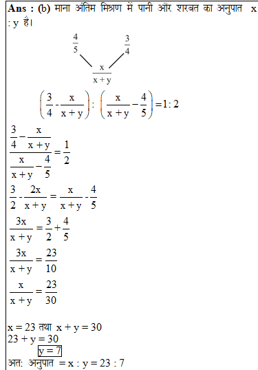
Q: पानी और शरबत के दो अलग अलग मिश्रण जिनमें पानी और शरबत का अनुपात क्रमश: 4:1 और 3:1 है, उनको 1:2 के अनुपात में मिश्रित किया जाता है। अंतिम मिश्रण में पानी और शरबत का अनुपात क्या है?
A.
19 : 11
B.
23 : 7
C.
17 : 13
D.
4 : 3
Correct Answer:
Option B -
Explanations:
Download Our App
Download our app to know more Lorem ipsum dolor sit amet consectetur adipisicing elit.
Excepturi, esse.
YOU ARE NOT LOGIN
Unlocking possibilities: Login required for a world of personalized
experiences.