search
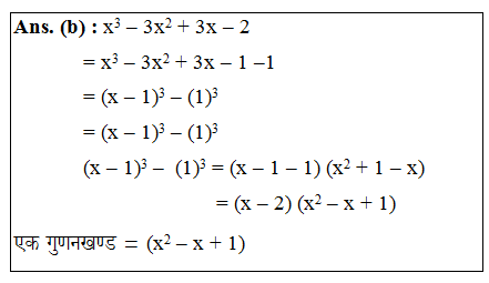
Q: One of the factors of x³– 3x² + 3x – 2 is-
  • A. x² + x + 1
  • B. x² – x + 1
  • C. x² – x – 1
  • D. x² + x – 1
Correct Answer: Option B -
answer image

Explanations:

explanation image