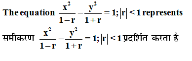
4
Which of the following statements is/are correct about the PM Vishwakarma Yojana? 1) The PM Vishwakarma Yojana was launched by the Hon'ble Prime Minister on 17 September 2023. 2) Scheme aims to provide end-to-end support to artisans and craftspeople who work with their hands and tools. 3) The Scheme components include recognition through PM Vishwakarma Certificate and ID Card, Skill Upgradation, Toolkit Incentive, Credit Support, Incentive for Digital Transactions, and Marketing Support. पीएम विश्वकर्मा योजना (PM Vishwakarma Yojana) के संबंध में निम्नलिखित में से कौन -सा/से कथन सही है/हैं। 1) पीएम विश्वकर्मा योजना 17 सिंतबर 2023 को माननीय प्रधानमंत्री द्वारा शुरू की गई थी। 2) इस योजना का उद्देश्य अपने हाथों और औजारों से काम करने वाले कारीगरों और शिल्पकारों को शुरू से अंत तक सहायता प्रदान करना है। 3) इस योजना के घटकों में पीएम विश्वकर्मा प्रमाणपत्र और आईडी कार्ड, कौशल उन्नयन (Skill Upgradation) टूलकिट प्रोत्साहन (Toolkit Incentive) ऋण सहायता (Credit Support) डिजिटल लेनदेन के लिए प्रोत्साहन और विपणन सहायता के माध्यम से मान्यता शामिल है।